Andean giants: Priscula spiders from Ecuador, with notes on species groups and egg-sac troglomorphism
Published in European Journal of Taxonomy, 2023, https://doi.org/10.5852/ejt.2023.909.2351
Together with Guanliang Meng, Nadine Dupérré, Jonas Astrin, Mauricio Herrera, and Diego Javier Inclán Luna


The Andean genus Priscula Simon, 1893 includes the largest Neotropical pholcid spiders, but due to their mostly very cryptic lifestyle they remain poorly collected and poorly studied. Nothing has been published about the phylogeny and the biology of the genus.



Here we deal with a recent collection of Priscula spiders from Ecuador, the country of origin of the type species, P. gularis. We describe eight new species, collected at 17 localities at altitudes between 640 and 3160 m a.s.l., all based on males and females.
We use a sample of approximately 26 species-level taxa, mostly from Ecuador and Venezuela, to propose a first hypothesis about relationships within the genus. Our data (mainly CO1) suggest the existence of five species groups, three of which are represented in Ecuador.


.











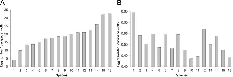
The cave-dwelling P. pastaza (#1 in the graphs above) is only slightly troglomorphic (paler than usual; anterior median eyes strongly reduced or lost) but differs dramatically from forest-dwelling congeners in its biology: it produces the smallest known egg-sacs of all studied species (only 6–7 eggs; average in 15 other species: 42 eggs); but it produces the largest eggs relative to body size of all studied species.